波音游戏源码-波音博彩公司评级_百家乐园天将_新全讯网3344111.c(中国)·官方网站

兩岸四地消費者信心 內地微升 港澳臺均下跌 港人購買房屋信心大幅下降

 

 
香港城市大學(城大)管理科學系統計諮詢中心的最新調查顯示,2016年第四季的兩岸四地消費者信心指數,中國內地微升、香港、澳門及臺灣則下跌。其中港人對購買房屋的信心更比上一季度大幅下跌兩成,是2016年度最低水平。
 
消費者信心指數最高分為200分,表示受訪者「信心飽滿」;最低分為0分,表示受訪者「全無信心」。指數低於100分表示受訪者「信心不足」;高於100分表示「頗有信心」。
 
在消費者信心指數涵蓋的六大範疇中,香港有一類(購買房屋)的單項指數遠低於100分;另三類(經濟發展、物價狀況、投資股票)的單項指數介乎70至100分;只有兩類(生活狀況、就業狀況)的指數略高於或非常接近100分(詳見表一)。
 
香港消費者的最大擔憂仍在於購買房屋,在這方面的信心指數錄得45.1分,比上一季度大降20.9%,更是本年度的最低水平。
 
物價方面的信心指數錄得68.8分,較上一季度下跌5.6%,反映市民對物價方面的信心較上季度差。在經濟發展方面,信心指數錄得88.3分,較上一季度微跌1.6%。在投資股票方面,信心指數錄得81.9分,較上一季下跌2.8%。就業狀況信心指數錄得99.3分,與上一季度相若。
 
生活狀況信心指數錄得105.9分,較上一季度微跌1.2%,是六個單項指數之中得分最高者,但只略高於分界線即100分,反映市民的信心僅屬中性。
 
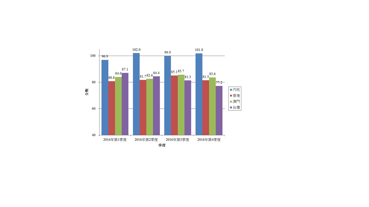
將兩岸四地的2016年第四季度消費者信心互相比較,可見中國內地的信心最高(101.8分),隨後是澳門(83.6分)、香港(81.5分)及臺灣(77.2分)(詳見圖一)。中國內地消費者信心指數較上季度上升1.9分,香港、澳門及臺灣則比上季度分別下跌3.6分、2.1分及4.1分。
 
兩岸四地消費者信心指數首次在2009年第一季面世,此後每季度公佈一次,以便市場人士和專家分析、比較中國內地、香港、澳門、臺灣四地消費者的意見,了解他們對當地的經濟、就業、物價、生活、購買房屋、投資股票六方面的信心。調查由分別位於四地的五所大學聯合進行,城大負責研究香港地區的消費者信心。香港地區2016年第四季的消費者信心調查從2016年12月12日至12月27日進行,受訪者是1,007名年滿18歲且常住於本地的香港居民。

 

 

 

 

 

表一:香港消費者信心指數(最近四個季度)
類別
2016
第1季度
2016
第2季度
2016
第3季度
2016
第4季度
經濟發展
78.9
79.9
89.7
88.3
就業狀況
90.6
89.3
99.7
99.3
物價狀況
72.6
76.6
72.9
68.8
生活狀況
101.4
103.9
107.2
105.9
購買房屋
64.5
66.6
57.0
45.1
投資股票
76.5
73.9
84.3
81.9
CCI整體指數
80.8
81.7
85.1
81.5
 
 
 
 
 
傳媒查詢:
 
城大管理科學系副教授、統計諮詢中心主任曹國輝博士(電話:852-9020 9996)

你可能感興趣

Back to top
大发888官方6| 百家乐官网是否违法| 菲律宾太阳城网| 赌博百家乐官网游戏| 裕昌太阳城户型图| 鼎龙百家乐官网的玩法技巧和规则| 太阳城娱乐城申博| 单双和百家乐游戏机厂家| 百家乐官网的必胜方法| 水果机技巧| 2024年九宫八卦吉位| 百家乐官网如何打公式| 免费百家乐统计工具| 属蛇做生意坐向| 百家乐官网投注秘笈| 大发888娱乐场是真是假| 百家乐视频交流| 澳门百家乐官网下三路| 百家乐娱乐平台网77scs| 励骏会百家乐官网的玩法技巧和规则| 太阳城伞| 百家乐桌布| 百家乐官网羸钱法| 百家乐官网美女荷官| 新太阳城娱乐城| 百家乐的注码技巧| 百家乐官网娱乐求解答| 狮威亚洲娱乐城| 大发888娱乐场骗局| 百家乐最佳投注法下载| 公海百家乐官网的玩法技巧和规则 | 百家乐官网博娱乐场开户注册| 理塘县| 温州市百家乐鞋业有限公司| 做生意摆放风水| 新濠峰百家乐官网的玩法技巧和规则| 拉斯维加斯| 大发888奖金| 大发888真钱娱乐场| 澳门百家乐然后赢| 百家乐桌子北京|